豫东名校周口师范学院简介,2023年各专业录取分数线,给24届学子
豫东名校周口师范学院简介,2023年各专业录取分数线,给24届学子
周口师范学院坐落于河南省周口市,是一所全日制普通本科高校,由河南省教育厅、周口市政府共建。



学校始建于1973年,历经周口师范学校、周口师范专科学校、周口师范高等专科学校等阶段,2002年升本成功,更名为周口师范学院。



学校占地1600余亩,建筑面积76万平方米,教学科研仪器设备总值4.33亿元,纸质藏书222万册,电子图书142.27万册;有教职工1710人,专任教师1314人;全日制在校生25041人。校设有20个教学院(部),开设66个本科专业,学科专业涵盖文学、理学、工学、法学、历史学、教育学、管理学、经济学、艺术学、农学等10大学科门类
周口师范学院校园环境优美,学风浓厚,近几年发展迅速,我有几个同学均毕业于此校,就业前景也不错,均是我们当地初高中重点学校的教师,自身发展也很好,刚压线的同学值得推荐,是不错的选择。


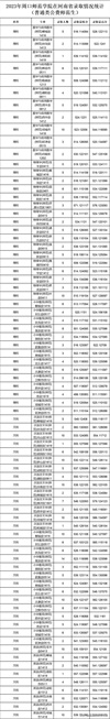
整理了2023年周口师范学院招生录取具体分数线的情况,仅供2024届高考学子参考。




-
- 依法治国,执政为民
-
2025-10-05 14:21:51
-
- 听听张碧晨还爱不爱华辰宇?
-
2025-10-05 14:19:36
-
- 太甜了!空军飞行员航空工程师喜结连理,共同谱写蓝天梦想
-
2025-10-05 14:17:21
-
- 四人帮时,杨勇被部下打得头破血流,官复原职后,此人结局如何?
-
2025-10-05 14:15:07
-
- 实体店出现大量倒闭是电商冲击导致的?是高房租?还是高人工成本
-
2025-10-05 14:12:52
-
- 圣都食品:从“变”中创新,立足山东,力争惠及全国民生
-
2025-10-05 14:10:37
-
- 究竟是烂泥扶不上墙还是已经洗心革面?国足今晚见分晓。
-
2025-10-05 14:08:22
-
- 花生价格持续走低,为什么?后续行情趋势如何?
-
2025-10-05 14:06:07
-
- 每日拿走不谢,手机壁纸欣赏,帅气忧郁有点二的卡卡西
-
2025-10-05 01:08:31
-
- 临沂6个!山东青少年红色研学重点推介基地名单发布
-
2025-10-05 01:06:16
-
- 梁咏琪老公带女儿亮相演唱会为她庆生,离开郑伊健是正确的选择
-
2025-10-05 01:04:01
-
- 李沁现身肖战庆功宴被疑恋爱,打扮低调面对面吃火锅,粉丝先辟谣
-
2025-10-05 01:01:46
-
- 老婆出轨的生理表现,老婆出轨的身体表现?
-
2025-10-05 00:59:31
-
- 国台办回应杨丞琳五月天事件,倡导两岸文化交流,欢迎来大陆发展
-
2025-10-05 00:57:16
-
- 窦文涛结过婚吗 为什么窦文涛坚持做一个不婚主义者
-
2025-10-05 00:55:01
-
- 邓婕告别舞台多年,再铸银屏辉煌
-
2025-10-05 00:52:46
-
- The Witness《见证者》最新试玩视频曝光 史诗解谜大作介绍
-
2025-10-05 00:50:31
-
- 《黑处有什么》电影完整版
-
2025-10-05 00:48:17
-
- 直男谈恋爱的特征有哪些 看看你的他有没有
-
2025-10-04 14:55:22
-
- 枣阳成功办理首笔二手房“带押过户”业务
-
2025-10-04 14:53:07



民国四大无耻文人:郭沫若/老舍/臧克家/冯友兰(四大文人败类)
中国境内蛇类110种图文介绍,有剧毒的,也有无毒好玩的
小区名字最后一个字档次排名(馆、城、苑、园、府、庄、院、湖、岛、湾)
新手跑UU跑腿,一天赚多少钱?
详细!南宁地铁3号线途径站点逐一图解,快看经过你家或者单位咩?
台湾乐坛地位最高的10位歌手,很多巨星上不了榜,第1无人不服!
去世7年后,才明白阎肃86岁的遗孀,为何非要将亲生儿子告上法庭
《陈情令》中聂怀桑为何被称为聂导?细说聂导做过的那些事儿
勇气大爆发儿歌原唱是谁?为什么那么受小朋友喜欢?
10个中国虚拟手机号码平台推荐(接收验证码+接打电话/收发短信)